Our work has focused on the sublethal impacts of soil metal contamination. Towards this end we have documented the relationship between soil metal load and plant species distribution, primary productivity, diversity and assemblage trajectory. In addition, in order to define the ecological risk we have examined the uptake and transfer of various metals at several trophic levels. These data suggest that models for assembly rules, at least those associated with the degraded environments of the urban context, must account for abiotic filters, resulting feedback loops and the potential for development of alternate stable steady states. Understanding these systems will enable the true understanding of novel ecologies in the urban context.

Top left: Threshold relationship between total soil metal load and plant productivity as measured by the normalized data vegetation index (NDVI).

Top Middle: Forest survey plots and forest type stands.

Top Right: Model of soil / plant feedback loop within an urban brownfield.

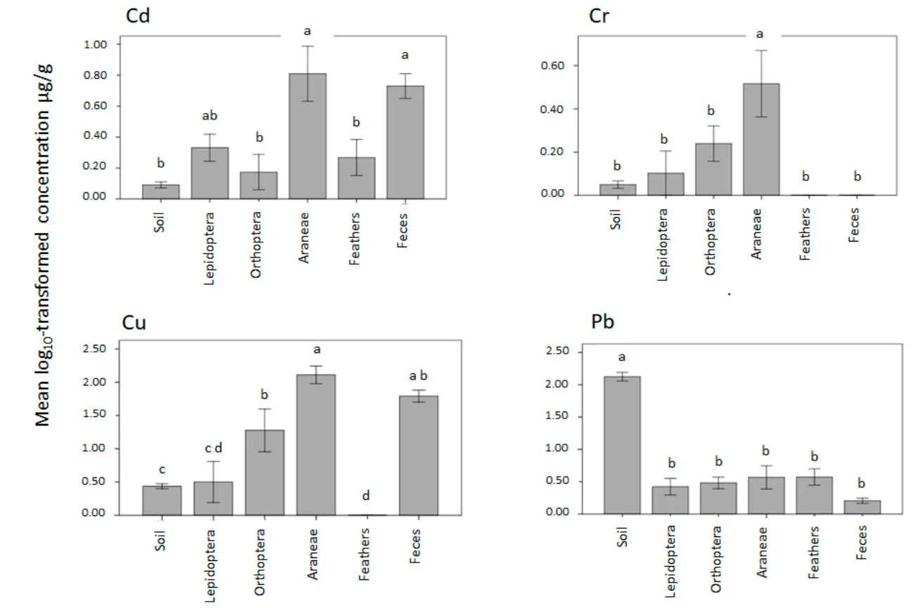
Bottom Left:Metal concentration in various taxa collected from an urban brownfield.

Bottom Middle: Metal concentration in the root epidermis of Typha latifolia collected from an urban brownfield.

Bottom Right: Vegitative guild trajectory within an urban brownfield.